{{ $t('FEZ001') }}試務組
{{ $t('FEZ002') }}教務處|
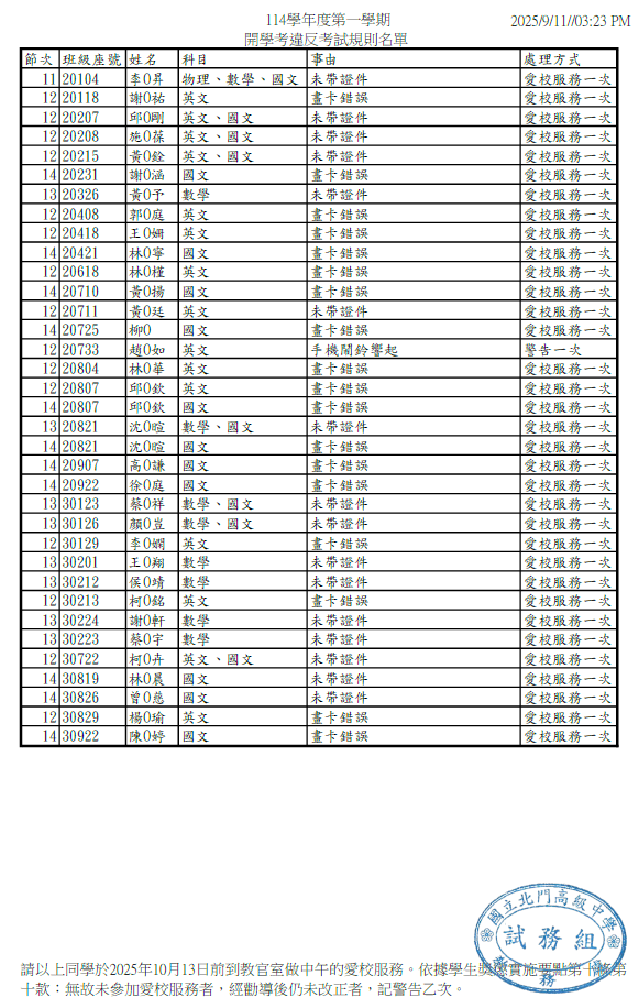
114學年度第一學期開學考愛校服務名單

請以上同學於2025年10月13日前到教官室做中午的愛校服務。依據學生獎懲實施要點第十條第
十款:無故未參加愛校服務者,經勸導後仍未改正者,記警告乙次。
{{ $t('FEZ012') }}
{{ $t('FEZ003') }}2025-09-11
{{ $t('FEZ014') }}2025-10-11|
{{ $t('FEZ004') }}2025-09-11|
{{ $t('FEZ005') }}491|